Monday, October 30, 2023

Monday, October 9, 2023

Aljabar Linier bagian 2

 


untuk mengerjakan soal a,  diagonal utama sebagai fungsi kuadrat, sedangkan sisi lainnya adalah nilai dari posisi baris-kolom yang dijumlah (69=64+5, 145=144+1, 13=12+1)

untuk jawaban b. matriks simetrik bisa dibentuk dari (A + At)/2 , matriks A + matriks A transpose dibagi 2. atau dari kuadratik hasil soal a, dibagi 2 kecuali diagonal utama.

contoh soal lainnya :




Terlihat bahwa hasil dari soal f dan g memiliki hasil yang sama yaitu -6.

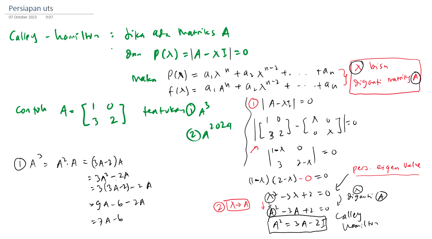
Teori Calley hamilton untuk soal matriks

untuk memudahkan perkalian matriks, digunakan Teori calley Hamilton yang menggunakan eigen untuk mencari fungsi yang bisa dipadankan


Beberapa terapan contoh soal yang bisa digunakan






Tuesday, September 5, 2023

estimasi biaya umroh 2023

Berdasar perhitungan kasar dari website pt ndw. maka minimal uang yang disiapkan untuk berangkat umroh adalah 45 juta.


Aljabar Linier (bag 1)

 Vektor


Persamaan homogen mempunyai solusi trivial(sepele semua x=0) atau non trivial(ada solusi selain semua x=0)


Baris Echelon(segitiga bawah) dan Baris Eselon tereduksi (segitiga atas bawah)

Sistem persamaan linear mempunyai 3 solusi

contoh spl tidak konsisten

contoh 2





SPL homogen bentuk Ax = 0


non trivial jika jumlah variabel lebih banyak dibanding jumlah persamaan.

contoh : 1,3,4 non trivial, 2 trivial


baris eselon soal nomor 1. terluhat 3 variabel dengan 2 persamaan.

Linear dependent dan linear independent

contoh :



syarat linear transformasi ada 2, 




contoh 2 : 





Sunday, August 6, 2023

menyiasati kehidupan

 BERPEGANG TEGUH PADA AGAMA ADALAH OBAT STRES


Stres adalah sebuah penyakit psikis yang menekan jiwa seseorang dan menyebabkan beberapa masalah di tubuhnya. Stres adalah penyakit yang mungkin paling banyak dijumpai pada masa ini. Agar terhindar dari penyakit ini, kita harus mempersiapkan diri kita untuk kehidupan dunia dan akhirat dengan sebaik mungkin, kemudian bertawakal. Tawakal dapat mencegah stres. Bagi kita sebagai muslim, tawakal bukanlah sebuah kelemahan, melainkan sebuah kekuatan. Tawakal juga bukanlah bermalas-malasan dan berpangku tangan. Maksudnya, setelah bekerja keras untuk mencapai tujuannya, seseorang harus menerima apa pun hasil yang akan diperoleh.


Hal terpenting dalam mengobati stres adalah menjauhi hal-hal yang menyebabkan stres. Untuk terhindar dari stres, seseorang harus bersabar, pengertian, tidak mudah tersinggung, tidak mudah marah terhadap hal-hal yang bisa terjadi. Menyugesti diri untuk bisa melakukan semua itu akan sangat membantu.


Orang-orang yang memiliki keimanan yang tinggi, taat pada agamanya, senantiasa berwudhu serta melaksanakan shalat, serta menunaikan perintah-perintah agama Islam lebih sedikit mengalami stres. Sebab, agama kita menunjukkan cara-cara untuk terhindar dari stres, yaitu dengan mengajarkan kita untuk bertawakal, bersabar, menjalin hubungan dengan baik, bersikap ramah, berbuat baik, memaafkan kesalahan orang, berqanaah, dan tidak berbuat maksiat. Singkatnya, Islam mengajarkan kita untuk memiliki akhlak-akhlak mulia.


Dalam beberapa hadis syarifnya, Rasulullah Shallallāhu ‘alaihi wa sallam bersabda sebagai berikut,


“Pada hari kiamat nanti tidak ada sesuatu apa pun yang (pahalanya) lebih berat dalam timbangan seorang mukmin selain akhlak yang baik. Sungguh, Allah SWT membenci (tidak meridhai) orang yang berlaku buruk dan berkata kotor.”